Prognozowanie mikrobiologiczne: Prognozowanie na nowo
Prognozowanie bezpieczeństwa mikrobiologicznego produktów przy zmianie składu lub technologii produkcji.
Różnorodne modele prognostyczne (wzory matematyczne), opracowane w celu opisu zachowania bakterii pochodzących z żywności są sklasyfikowane w dwóch głównych grupach:
- Modele oparte na prawdopodobieństwie – zwykle stosowane w przypadku bakterii przetrwalnikujących, np. Clostridium botulinum,
- Modele kinetyczne – opracowane dla nieprzetrwalnikujących patogenów. Opisują one matematycznie wpływ warunków środowiska (np. pH, aktywność wody, zawartość różnych soli, kwasów organicznych, temperatury) na kinetykę wzrostu mikroorganizmów (szczególnie na okres trwania lagfazy i czas generacji, a także tempo wzrostu mikroorganizmów).
- Modele prognostyczne pogrupowane są w zależności od tego czy opisują wzrost mikroorganizmów, ich inaktywację, przeżywalność lub połączone.
Sercem modelu jest wzór matematyczny opisujący kinetykę drobnoustrojów w określonym środowisku (żywności). Najczęściej wykorzystywane w mikrobiologii prognostycznej to modele Gompertza oraz Baranyi i Robertsa.
Model Gompertza:

gdzie:
Nt – liczba mikroorganizmów w czasie t,
No – początkowa liczba mikroorganizmów,
A – maksymalny poziom mikroorganizmów,
m – współczynnik maksymalnego tempa wzrostu,
λ – czas trwania lagfazy.
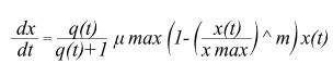
Model Baranyi i Robertsa:

gdzie:
x – liczba komórek w czasie (t),
x max – maksymalna gęstość komórek,
m – parametr charakteryzujący przejście krzywej wzrostu do fazy stacjonarnej,
q (t) – koncentracja niezbędnego substratu, która zmienia się w czasie (t).
Istnieje również podział na modele pierwszo- drugo- i trzeciorzędowe.
Modele pierwszorzędowe wyznaczają podstawowe parametry charakteryzujące wzrost drobnoustrojów – czas trwania lagfazy λ i współczynnik tempa wzrostu μ w stałych warunkach środowiska.
Modele drugorzędowe opisują, w jaki sposób zmieniają się parametry wyznaczane przez modele pierwszorzędowe w zależności od zmian czynników środowiska, np. temperatury, pH, aktywności wody.

